A Gambino Associate’s Fight Over a Brooklyn Barroom Stabbing Challenges Conviction With New Evidence, But Courts and Officials Remain Unconvinced
LUTHMANN NOTE: Despite court rejections, Gambino associate Battista “Benny the Blade” Geritano’s case contains multiple anomalies worth investigating. Missing interior surveillance, conflicting witness statements, grand jury omissions, and an anomaly on the verdict/commitment sheet highlight gaps in the prosecution narrative. Sworn affidavits and the white-shirt suspect theory, while discounted by courts, suggest evidence remains unexplored. Structured public record requests to the Kings County DA, Supreme Court, and federal archives could reveal whether these discrepancies stem from oversight or intentional misrepresentation. A document-driven deep dive is critical to verify the full story. This investigation aims to reconcile official records with Geritano’s claims in his Evidence Book. This piece is “Benny the Blade Battles Everybody.”
By Frankie Pressman and Richard Luthmann
Violent Past and a Barroom Brawl
(BROOKLYN, NEW YORK) – Battista “Benny” Geritano has long been known to law enforcement as a Gambino crime family associate with a violent reputation. In the 1990s, prosecutors branded him “a violent predator” after he beat an attempted murder charge. By 2010, he was on federal supervised release from a racketeering conviction, and his name surfaced in a high-profile 2011 knife fight with famed pizzeria owner Mark Iacono (though charges in that case were dropped when neither man cooperated).
It was against this backdrop that Geritano walked into Club Nouveau in Bay Ridge, Brooklyn, on December 23, 2012 – a night that led to his longest prison term yet.

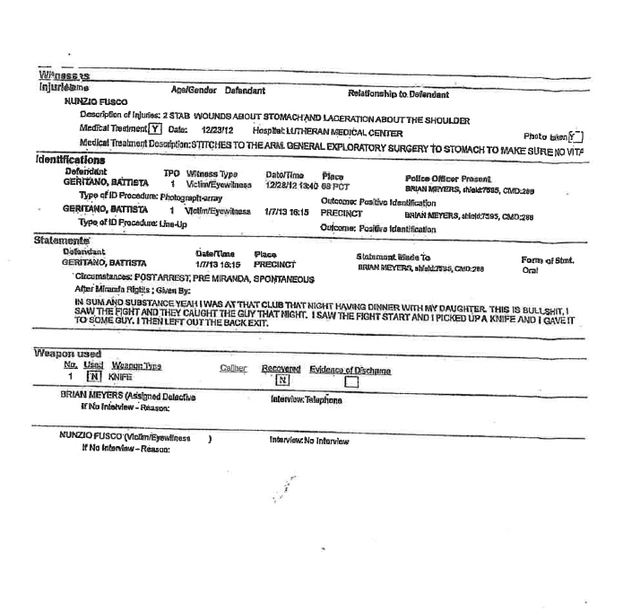
Inside the packed nightclub, a brief encounter quickly turned bloody. According to police and prosecutors, Geritano bumped into another patron, Nunzio Fusco, at the bar and immediately escalated the situation. Witnesses said Geritano shoved Fusco’s girlfriend, prompting Fusco to throw a punch at Geritano. A melee erupted involving multiple men, during which Fusco was stabbed twice in the abdomen.
Fusco later testified that he didn’t even realize he’d been stabbed until bouncers broke up the fight and led him outside. He underwent emergency surgery for serious wounds, including a punctured lung and a deep forearm gash.
Fusco identified Geritano as one of the men he fought with – the one he had punched, but critically, he could not identify who stabbed him. In fact, at Geritano’s trial, Fusco admitted he “did not know which one stabbed him” among the brawlers.
That uncertainty about the attacker’s identity would later become a cornerstone of Geritano’s challenge to the official narrative.
Benny the Blade Battles the Prosecution’s Case: Video and a Prior Recognition
From the outset, authorities built their case on circumstantial evidence and Geritano’s alleged gangland modus operandi. No eyewitness squarely identified Geritano as the stabber, but a key piece of evidence swayed investigators and jurors: a surveillance video from Club Nouveau’s lobby. The grainy footage did not capture the stabbing itself (which occurred inside the bar area), but it showed the chaotic fight spilling out toward the club’s entrance.
As security staff escorted the bleeding Fusco through the vestibule, Geritano appears on camera chasing after him, holding an object “consistent with a knife” in his right hand. In the video, Geritano takes an aggressive stance, brandishing what looks like a blade, as Fusco retreats.
Moments later, Fusco, upon reaching the police outside, shouted that he’d been stabbed inside. Crucially, a fellow NYPD officer watching the tape recognized Geritano – a familiar face from prior arrests. That recognition led detectives straight to Geritano.

He was arrested on January 7, 2013, and while in custody, he allegedly volunteered a partial explanation: Geritano told officers he had “picked a knife up off the floor and gave it to somebody” during the fracas. He also claimed he slipped out a back door while police entered the front. Notably, no knife was ever recovered from the scene.
The Brooklyn District Attorney’s office nevertheless pressed charges, initially including attempted murder, though Geritano ultimately stood trial for attempted first-degree assault and weapon possession.
At trial in late 2013, prosecutors painted Geritano as the instigator who sought vengeance after being punched – a mob-tied tough guy who grabbed a blade and stabbed Fusco in a burst of violence. They emphasized the video showing Geritano armed and pursuing the wounded victim, arguing it was no coincidence that the man seen with a knife on camera just seconds after the stabbing was indeed the stabber.
In December 2013, the jury agreed, convicting Geritano of attempted assault in the first degree and third-degree criminal weapon possession.
A judge imposed a 12-year prison sentence, a heavy term reflecting Geritano’s record.
Benny the Blade Battles the Narrative: Missing Tapes and Mistaken ID
From behind bars, Geritano has fought the conviction with an Evidence Book of exhibits and an alternate version of events. Central to his claims is that the government’s case was built on incomplete – even misleading – evidence. He argues that crucial surveillance footage went missing and that investigators ignored or covered up facts pointing to another culprit.

Specifically, Geritano says Club Nouveau’s interior security cameras captured the initial fight at the bar (where the stabbing occurred), but that footage was never preserved or shown to the jury. The club’s owner, Heather Kornhaber, later provided a statement confirming that there were cameras in the bar area and that she had seen video of Fusco punching Geritano – notably, she made “no mention of the stabbing” on that tape.
A former head of security at the club, Thomas Turner, likewise wrote in an email that he saw Geritano pick up a knife from the floor during the brawl, and that Fusco’s girlfriend identified a different man – one wearing a white shirt – as the person who stabbed Fusco.
In fact, one club patron, Harry Shasho, came forward to say he was the man in the white shirt and that police briefly detained him at the scene as a suspect after a woman (presumably Fusco’s girlfriend) pointed him out, only to release him moments later.
None of this information was aired at trial.
Geritano maintains that he never stabbed anyone and was at most guilty of picking up the knife after someone else dropped it. To bolster this, he gathered sworn statements from witnesses who were present. One bystander swore he did not see Geritano stab anyone.
Even the victim, Nunzio Fusco, signed a notarized statement in 2019 reaffirming that he does not know who stabbed him.
The most dramatic twist came when an inmate named Jason Polanco — a convicted felon housed in a neighboring cell — signed an affidavit in January 2019 claiming he was the one who stabbed Fusco in the club that night[25]. Polanco’s confession, if true, would exonerate Geritano.
Geritano’s filings also highlight alleged procedural lapses: he says the grand jury was misled with an incomplete picture of the evidence, and that the accusatory paperwork was defective (for example, he contends the initial criminal complaint was invalid).
In one letter to the court, Geritano accused prosecutors of knowingly presenting false or incomplete information — such as showing only the lobby video and not disclosing the existence of interior-camera footage — in order to secure his indictment and conviction.
These contentions directly challenge the integrity of the official case and suggest a wrongful conviction scenario. But have they held up?
Benny the Blade Battles the Courts: Claims of Misconduct and Error
To date, Geritano’s counter-narrative has gained no traction in court. The New York appellate court that upheld his conviction in 2018 directly addressed several of his arguments and found them meritless.
On the issue of the missing surveillance video, the Appellate Division noted that Geritano’s trial attorney was aware of the gap and actually requested a jury instruction about the lost evidence. The trial judge delivered a “missing evidence” charge, permitting jurors to infer that the unproduced bar-area footage would have been unfavorable to the prosecution. Having accepted that remedy at trial, Geritano was barred from claiming a Brady violation on appeal – and regardless, the appeals court ruled “the contention is without merit” (implicitly agreeing with prosecutors that there was no deliberate evidence suppression).

Geritano’s attack on the grand jury proceedings fared no better. He accused the District Attorney of withholding surveillance video from grand jurors and misrepresenting what certain defense witnesses would say. The appellate judges found no indication of any withheld video and deemed the prosecutor’s summaries proper, noting it is not misconduct to exclude hearsay portions of a witness’s proffered testimony.
In short, the panel concluded the grand jury’s integrity was intact and “not impaired” by the alleged errors.
Other complaints were dismissed without detailed comment. Claims of investigative “paperwork defects” or other irregularities were deemed outside the trial record and thus not reviewable on direct appeal. The court suggested such issues, if true, should be raised in a post-conviction motion to vacate.
Geritano did pursue post-conviction relief – filing motions and federal habeas petitions – and there he presented his new batch of affidavits. However, judges remained highly skeptical.

In a 2023 federal ruling, U.S. District Court Judge Rachel P. Kovner scrutinized the Polanco confession and essentially dismantled it as not credible. The court noted that Polanco happened to be Geritano’s jail neighbor in late 2018, serving a 76-year sentence for shooting two police officers. By the time he confessed to the 2012 stabbing, the statute of limitations had lapsed, and Polanco had nothing to lose.
The Court also found his statement glaringly inconsistent with known evidence, describing a prelude that didn’t match any witness account and lacked any independent corroboration. Given the circumstances, Judge Kovner found Polanco’s claim “neither credible nor compelling” as proof of Geritano’s innocence.
The other affidavits – regarding the white-shirt suspect, the missing camera, etc. – did not move the needle enough either. No court has ordered a new trial or an evidentiary hearing on Geritano’s case. In fact, one of Geritano’s attempts to appeal further was dismissed as untimely in 2022, closing the door on his direct appeals.
Benny the Blade Battles the Public: Reaction and Ongoing Saga
Geritano’s bid to rewrite the narrative of the Club Nouveau stabbing has so far found little external support. No investigative journalists or innocence projects have taken up his cause publicly. On the contrary, coverage of Geritano in the press has been unsympathetic.
A column by veteran crime reporter Jerry Capeci ridiculed Geritano for even going to trial “even though he knew he had been caught on videotape with a knife in his hand.”

Capeci revealed that in 2017, while Geritano was incarcerated, federal prosecutors charged him with sending a vicious threat letter related to his case. According to court filings, Geritano mailed an extortion demand vowing violence – including beheadings – against two people, one of whom was his own trial lawyer, Albert Brackley.
In 2019, Geritano pleaded guilty and received a 78-month federal sentence (roughly six and a half years) for that letter, on top of his state prison time. This self-sabotaging move reinforced the narrative of Geritano as his own worst enemy; as one observer quipped online, it earned him a “regular Albert Einstein” award for criminal foolishness.
Meanwhile, those who know Geritano personally have largely stayed quiet or spoken only in glowing generalities. On a mafia web forum, one former prison mate praised “Benny” as “a beautiful dude” but conceded he is “very impulsive.”
There has been no independent confirmation of the alleged alternate suspect in the stabbing. The man in the white shirt identified by Fusco’s girlfriend was never publicly named by authorities, and it appears no charges were ever brought against anyone else.
The NYPD and Brooklyn prosecutors have stood by Geritano’s conviction. After multiple reviews, the official position remains that they arrested the right man.
In the courts of law and public opinion, Geritano’s challenges to the government’s story – missing videos, misidentifications, grand jury misconduct, paperwork errors – have been rejected or simply fallen on deaf ears.
As of today, Battista “Benny” Geritano continues to serve his sentence, with his claims of wrongful conviction unresolved and little indication that the narrative will shift in his favor.
Still, this outlet has begun digging. There is enough in Geritano’s Evidence Book to raise real weaknesses in the charging narrative, video preservation, witness development, and clerk paperwork:
1) The complaint-room language appears to oversell what Fusco could actually say.
The Evidence Book’s most reportable inconsistency is between the early accusatory paperwork and the later sworn record. On pp. 29-30 and p. 36, the screening sheet and felony complaint read as if the case could be charged directly as Geritano stabbing Fusco. But the latter record — both inside the Evidence Book and in the federal order — says Fusco identified Geritano as the man from the fight, not as the person he saw stab him. That is the cleanest paper-trail tension in the whole file.
2) Lost video / investigative cherry-picking is a serious, documentable defect.
On p. 10, Meyers says he saved only the vestibule portion because it was “the only part” he needed and did not save the bar-area material; on p. 41, a later prosecutor’s affirmation acknowledges he allowed some surveillance to be deleted and notes Lieutenant Caviness complained about that failure. The Appellate Division still rejected the defense claim on appeal, but as a reporting matter, this is strong because it is not speculative — it is an admitted process failure.
3) The white-shirt / Harry Shasho lead is real, but courts treated it as weakly corroborated.
The Evidence Book gives multiple pages for this: p. 5 (Shasho), p. 9 (Cerbone), p. 42 (man in white shirt in police/prosecutor recounting), and the later handwritten packets. The federal order confirms that Geritano later submitted Shasho, Cerbone, Kornhaber, Nackab, and Polanco/Fusco materials, but Judge Kovner held that those submissions still did not outweigh the evidence used against him. So this is a strong “ignored lead / weak corroboration / why wasn’t it run down harder?” angle.
4) The probation office arrest and warrant trail deserves a full paper chase.
The Evidence Book pages 24, 27, 28, and 37 are unusually valuable together. They show: NYPD describing the arrest at probation; a federal warrant form tied to the earlier supervised-release case; an EDNY clerk saying the requested “warrant affidavit” does not exist on that federal docket number; and a state clerk’s letter saying no supporting affidavits accompany the complaint. That does not prove a fake warrant, but it absolutely justifies document requests aimed at the actual warrant application, return, and execution chain.
5) There is a genuine verdict/commitment-count anomaly.
The reproduced verdict sheet on pp. 51-52 appears to show guilt checked on count 5, while the oral verdict return on pp. 59-60 reflects guilt on count 1 and count 4 only. The sentence-and-commitment form on p. 61 then appears to use count 5 for the weapon offense. The official public record, meanwhile, describes the conviction as attempted first-degree assault plus third-degree weapon possession. This is exactly the kind of clerk-record problem worth pulling raw minute entries and certified corrections for.
6) The CRU material is only an intake step, not a merits finding.

The packet includes a July 8, 2025, Kings DA CRU letter telling Geritano to submit the form first and not send other materials yet. That is important because it means the file contains evidence of contact with the CRU, but not evidence that the CRU has validated or invalidated any claim.
Benny the Blade Battles Everybody: What’s Next?
Despite repeated rejections of his post-conviction claims, the Geritano case contains enough substantive anomalies to justify a deeper investigation. The official record confirms his conviction, yet multiple elements documented in his Evidence Book expose discrepancies the courts never fully resolved: missing interior surveillance footage from Club Nouveau, conflicting witness statements about the stabbing, questions about the grand jury’s access to all relevant evidence, and a verdict/commitment sheet that appears to miscode counts.
Coupled with sworn statements from bystanders and security staff indicating alternative suspects, these issues create gaps in the prosecution narrative. A structured series of public record requests to the Kings County DA, the New York State Supreme Court, and the federal records custodians could illuminate whether these anomalies reflect procedural oversight, deliberate missteps, or misrepresented facts.
This outlet has begun a document-driven inquiry as the only reliable path to verify or challenge the official narrative. We will further report our findings.
From: Richard Luthmann <richard.luthmann@protonmail.com>
Date: On Monday, March 23rd, 2026 at 10:53 AM
Subject: FOIL Request – People v. Battista Geritano, Ind. No. 260/2013 / Arrest No. K13801910
To: KCDAFOIL@brooklynda.org <KCDAFOIL@brooklynda.org>
CC: Dick LaFontaine <RALafontaine@protonmail.com>, Rick LaRivière <RickLaRiviere@proton.me>, Frank Parlato <frankparlato@gmail.com>, Frankie Pressman <frankiepressman@protonmail.com>, Michael Volpe <mvolpe998@gmail.com>, Modern Thomas Nast <mthomasnast@protonmail.com>
By Email and U.S. Mail
FOIL Department
Brooklyn District Attorney’s Office
350 Jay Street
Brooklyn, NY 11201
Re: FOIL Request – People v. Battista Geritano, Ind. No. 260/2013 / Arrest No. K13801910
Dear Sir or Madam:
We are independent journalists seeking information related to the above-referenced matter pursuant to the New York Freedom of Information Law. We request records reasonably described below concerning the prosecution of Battista Geritano arising from the December 23, 2012, incident at Club Nouveau, 8214 Third Avenue, Brooklyn.
This request seeks non-grand-jury records. I am not requesting sealed grand-jury minutes unless they have already been unsealed and are otherwise releasable.
Please search the Complaint Room, Criminal Court Bureau, trial bureau files, Appeals Bureau, post-conviction files, and any retired or archived storage.
Requested records:
1. The complete complaint-room file for Arrest No. K13801910, including screening sheets, draft screening sheets, intake notes, source notes, handwritten notes, routing slips, emails, call slips, and any database or case-management entries and audit trails reflecting creation or revision of the complaint narrative.
2. All materials used to prepare the felony complaint and complaint-room screening sheet, including notes of communications with NYPD personnel, witness summaries, and any source documents relied upon by the complaint-room screener.
3. All non-grand-jury records concerning CPL 710.30 notices and supporting materials, including identification paperwork transmitted to or maintained by the DA’s Office.
4. Communications with NYPD concerning the photo array, lineup, surveillance footage, preservation or non-preservation of video, I-card issuance, or the probation-office apprehension on January 7, 2013.
5. Non-grand-jury records concerning defense witness proffers or related communications involving Vincent J. Romano, Gregory Basso, Joel Brettschneider, Josephine Augello, Thomas Turner, and Harry Shasho.
6. Any non-grand-jury record concerning complaints, concerns, or internal communications about missing or deleted surveillance footage, including communications referencing Lt. Caviness.
7. Any record sufficient to identify the complaint-room screener(s), supervisor(s), and approving attorney(s) who drafted, reviewed, edited, or approved the complaint narrative used in the criminal court filing.
Please construe this request as seeking records, not answers to questions. If a full file is not maintained, please produce any record sufficient to show the requested fact. Please produce records electronically where possible, including metadata-bearing formats for emails and database exports. I request rolling production.
If any records are withheld, please identify the specific exemption relied upon for each withholding and release all reasonably segregable portions. Please advise in advance if fees will exceed $50.00.
Thank you for your attention to this matter!
From: Richard Luthmann <richard.luthmann@protonmail.com>
Date: On Monday, March 23rd, 2026 at 10:56 AM
Subject: Certified Copy Request – People v. Battista Geritano, Ind. No. 260/2013
To: KCCOInfo@nycourts.gov <KCCOInfo@nycourts.gov>
CC: Dick LaFontaine <RALafontaine@protonmail.com>, Rick LaRivière <RickLaRiviere@proton.me>, Frank Parlato <frankparlato@gmail.com>, Frankie Pressman <frankiepressman@protonmail.com>, Modern Thomas Nast <mthomasnast@protonmail.com>, Michael Volpe <mvolpe998@gmail.com>
Via Email and U.S. Mail
Kings County Clerk’s Office
Attention: Record Room / Certified Copies
360 Adams Street, Room 189
Brooklyn, NY 11201
Email: KCCOInfo@nycourts.gov
Re: Certified Copy Request – People v. Battista Geritano, Ind. No. 260/2013
Dear County Clerk:
I request certified copies of the specific records in People v. Battista Geritano, Kings County Indictment No. 260/2013, and access to any archived criminal file maintained by your office for inspection.
Requested records:
1. The complete original verdict sheet, including all pages and any clerk certifications.
2. The sentence and commitment / uniform sentence and commitment filed in this matter.
3. Any amended or corrected sentence and commitment, correction slip, nunc pro tunc order, or other record modifying or clarifying the count number, statute, or disposition reflected on the sentence-and-commitment form.
4. The certificate of conviction and/or certificate of disposition, judgment roll, and minute entries for verdict and sentencing.
5. Any clerk notation, file-jacket notation, or archive notation reflecting transfer, correction, replacement, or recertification of the verdict sheet or commitment papers.
6. If maintained, the archived Supreme Court criminal file for Ind. No. 260/2013 for inspection or duplication.
Please advise the total cost for certified and non-certified copies before processing. If inspection is easier, I am willing to send an agent to inspect the file in person at the Record Room and then request only the pages I need copied and certified.
Thank you for your attention to this matter!
From: Richard Luthmann <richard.luthmann@protonmail.com>
Date: On Monday, March 23rd, 2026 at 10:59 AM
Subject: Request for Archived Federal Court File – United States v. Battista Geritano, EDNY 03-CR-970 / Accession No. 02101423 / Box No. 59
To: inquire@nara.gov <inquire@nara.gov>
CC: Dick LaFontaine <RALafontaine@protonmail.com>, Rick LaRivière <RickLaRiviere@proton.me>, Frankie Pressman <frankiepressman@protonmail.com>, Frank Parlato <frankparlato@gmail.com>, Michael Volpe <mvolpe998@gmail.com>, Modern Thomas Nast <mthomasnast@protonmail.com>
– Defendant: Battista Geritano
– Case: 03-CR-970 (supervised-release matter)
– Archive reference provided by EDNY clerk correspondence: Accession No. 02101423; Box No. 59Please advise:1. Whether Accession No. 02101423 and Box No. 59 are sufficient to retrieve the file;
2. Which NARA/FRC location currently holds the file;
3. Whether additional transfer, accession, or location data are needed; and
4. The procedure and cost to obtain copies of the following items, if present:
a. warrant papers;
b. revocation petition / violation report;
c. docket sheet;
d. minute entries;
e. orders and judgments;
f. any return or execution record for the January 2013 warrant.
Writer, Journalist, and Commentator






















2 responses to “Benny the Blade Battles Everybody”
Maybe if you stop calling him Benny the Blade people would take him more serious
He said likes the nickname:
https://www.facebook.com/share/p/1Kp8E54LCz/